Lest you doubt that the team behind the upcoming Ghostbusters movie is a bunch of huge nerds, this featurette will prove you wrong. In it, Dr. James Maxwell of MIT, who advised on the film, takes us through the ins and outs of how the team’s proton packs work, and just how real the science actually is in this film!
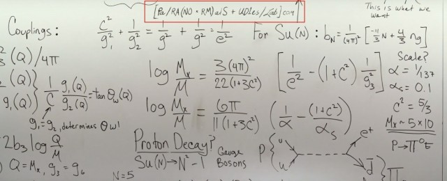
And it isn’t just the proton packs. Maxwell’s team made sure that everything, from the whiteboards to the scraps of paper you’ll see strewn around Ghostbusters HQ were all scientifically accurate. That is, when they weren’t slipping in inside jokes…
You might see something suspiciously….website-like up at the top there. That, of course, would be the “equation” for Paranormal Studies Lab‘s site, the lab where I assume Kristen Wiig and Melissa McCarthy’s characters do their science.
At the site, you can check out some of the other awesome equipment the Ghostbusters will be wielding in the film! What are you most excited to see?
(via /Film)
—Please make note of The Mary Sue’s general comment policy.—
Do you follow The Mary Sue on Twitter, Facebook, Tumblr, Pinterest, & Google +?
Have a tip we should know? [email protected]
